관련상품
-
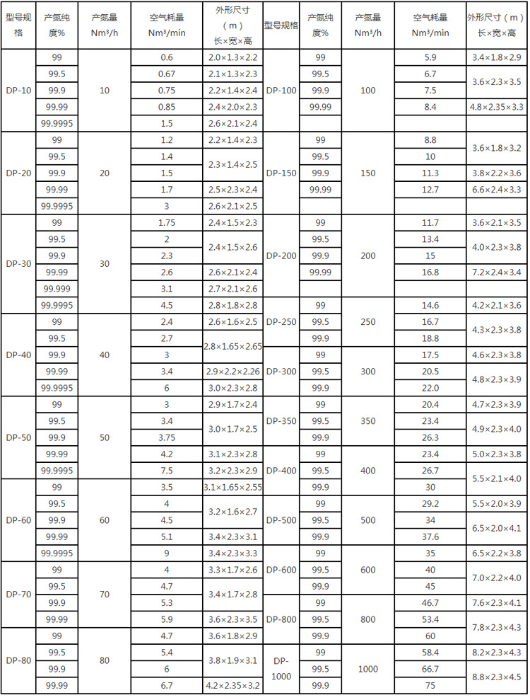
상품 상세설명
热销 小型制氮机工作原理 电子行业工业制氮机 电缆工业制氮机




PSA是一种新的气体分离技术,自60年代末70年代初已经得到迅速的 发展,其原理是利用分子筛对不同气体分子“吸附”性能的差异而 将气体混合物分开,它是以空气为原料,利用固体吸附剂对氮和氧 的选择性吸附的性能把空气中的氮和氧分离出来。


(PSA)碳分子筛制氨机工艺流程图:

空气经空气过滤器清除灰尘和机械杂质后进入空气压缩机,压缩至所需压力,经严格的除油、除水、除尘净化处理,输出洁净的压缩空气,目的是确保吸附塔内分子筛的使用寿命。装有碳分子筛的吸附塔共有二个,一个塔工作时,另一个塔则减压脱附。洁净空气进入工作吸附塔,经过分子筛时氧、二氧化碳和水被其吸附,流至出口端的气体便是氮气及微量的氩和氧。




江阴市东鹏净化设备有限公司座落于江苏省江阴市。旁依京沪高速、沪宁高速江阴段、京沪铁路常州站,侧邻深圳航空无锡硕放机场、常州奔牛机场,为各界朋友来企业考察、交友提供良好的交通位置。
公司是研制(PSA)制氮机械的企业之一,多年来已成功成为众多企业的供应商,获得了良好的口碑。为适应市场规律,企业发展,2004年与马来西亚近代精密机械公司精诚合作,使公司学习并吸收成熟的产品工艺、为产品进军海外市场奠定了扎实的基础。公司主营产品有:制氮机、制氮设备、PSA制氮机、PSA制氧机、纯化装置、DP微型系列制氮机、电子行业制氮机、化工行业制氮机、激光切割机制氮机、食品保鲜制氮机、医药行业制氮机、工业制氧机、低氧训练系统、低氧发生器等。
东鹏人坚信:诚信与勤奋结合,发展与机遇并存。
东鹏人诚邀各界朋友:精诚合作、和谐并进。



东鹏产品优势
1、东鹏(PSA)制氮装置采用全德式的制氮工艺和分子筛装填工艺,增加分子筛的回收率,降低分子筛的粉化率,使整机设备的使用寿命良好。
2、东鹏(PSA)制氮装置结合成熟工艺特点,在影响分子筛使用寿命的心脏部位成功研制、采用了可调、分离式吸附塔,使分子筛床层在稳定、静态下工作,避免了因分子筛长期处在压力载荷状态下而产生的机械磨损,使分子筛对于压力的承受度良好,堆积密度与吸附塔容积比的修正值为零。
3、东鹏(PSA)制氮装置利用气体的固有特性,成功研制采用了废气涡漩式排放装置。本装置的采用能使分子筛再生气能及时补充,降低气耗比,延长同等条件下空压机的待机时间,使整个工艺排放、补充能在15秒内完成。
4、东鹏(PSA)制氮装置根据用户要求,可实现全自动运行。用户可通过远程监控,达到对设备开机、停机、流量、气质纯度、空气压力、氮气压力、吸附塔工作压力的全天候监控、调节,不合格氮气实现自动排空,使整机装置减少消耗、降低消耗的功能标准。研发优势
东鹏不仅能研发适合客户产品包装需求的自动化包装系列设备,而且能为广大客户提供食品研发工艺方案,达到客户从食品加工到食品包装的需求。
· 礼貌认真接收客户咨询文件、电话,了解用户生产情况,所需产品要求及详细记录各项数据。
· 认真分析客户提供的咨询资料,及时提供所需产品的样本资料和方案。
· 项目跟踪期间,了解客户进展情况,及时提供帮助客户降本节支的合理建议。
· 诚邀客户来本企业实地考察,参与相关人员研讨客户需要方案。
· 设备运行期间,若出现意外情况,本厂接到反馈信息后,严格执行即委派相关人员到位服务的企业准则。
· 为用户指导安装、调试和培训操作人员,直至能熟练操作,掌握工艺原理并能简单维护为止。
· 设备出厂之日起,配备相关服务。
· 设备运行期间,定期回访。联系我们
江阴市东鹏净化设备有限公司
地 址:江苏省江阴市夏港工业集中区芙蓉大道西段188号
贵宾热线:13861639888
邮 箱:sales@dpzd.com
网 址:www.dpzd.com상품정보 제공고시
주문 번호 DPZD-465 맞춤형 처리 예 품목 번호 DPZD-465 유형 질소 발생기 추출가스의 종류 질소 가스 상태 추출 기체 적용분야 야금, 탄광, 열처리, 잉곳, 알루미늄 산업, 구리 산업 작동 원리 압축 상표 동펑 크기 2000*1300*2200/4200*2350*3200 무게 고객 서비스에 문의하세요 제품 유형 아주 새로운 처리 능력 30 국경 간 수출을 위한 독점 공급원인지 여부 아니요 목적 공기 분리 -
배송/교환정보